България 21.01.2022 15:46 Снимка: ДНЕС+
Министерската съпруга Виолета Лорер със завидна имотна декларация - 29 имота (ДОКУМЕНТИ)
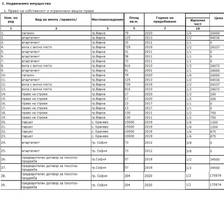
Съпругата на министър Даниел Лорер, Виолета може да се похвали със завидна имотна декларация и спестени пари в банката. В документа тя е декларирала 29 различни собствености, повечето във Варна и Кранево като: апартаменти, магазини, места с право на строеж и други. Стойността им приблизително се оценява на около 800 хиляди лева. Отделно семейство Лорер притежават 6 ниви и са спестили в банката сумата от 275 хиляди лева.
Виолета Лорер от дълги години работи в екип с настоящия финансов министър Асен Василев. През 2013 когато той е зам.-служебен министър тя е в екипа му, а после се връща във финансовото министерство по време на кабинета „Стефан Янев“, а след приемането на редовния кабинет, Василев я назначи за шеф на кабинета си.
Със свое решение пък Министерски съвет, част от който е и съпругът ѝ, Виолета Лорер е назначена и в надзора на НЗОК.[**sorce_name**]



Още по темата
CHF
|
1 | 2.10463 |
GBP
|
1 | 2.24498 |
RON
|
10 | 3.83729 |
TRY
|
100 | 3.87564 |
USD
|
1 | 1.66355 |
Последни новини
- 22:00 Хороскоп за сряда, 7 януари 2025 г.
- 19:33 "Мадуро е лицето, а Силия е юмрукът": Политическият възход на Силия Флорес
- 19:25 "Не съм готов физически". Джокович отказа първия турнир за годината
- 19:20 Daily Star: Една руска ядрена ракета може "да издуха" целия британски кралски флот
- 19:17 Шефът на пожарната: Включвайте духалките директно в контакта, а не в разклонители
- 19:10 Редки мечки (в Европа) са се адаптирали, за да бъдат по-дружелюбни и по-малко агресивни
- 19:02 Кметът на Днепър: Русия удари американски завод, над 300 тона растително масло се изля по улиците
- 18:56 Анджелина Джоли напуска Лос Анджелис